

当前位置:走进德成 > 德成动态
发布日期:2026-02-19 来源: 作者:北京德成经济研究院 加入收藏
本文一是探讨中国人为什么爱用诗词表达情感、审美与哲理;二是探讨中国人为什么要以“五言”“七言”诗为主的方式表达情感、审美与哲理;三是中国“五言”“七言”诗与西方黄金分割率为什么如出一辙的表达音律与哲理之美;四是东西方在表达音律与哲理之美为什么存在如此不同的思维差异?
蘅塘退士编选的《唐诗三百首》上说,“熟读唐诗三百首,不会作诗也会吟”。为什么会是这样呢,我想,首先是汉字是诗词的基础构成元素。汉字的单音节与双音节的节奏、韵律和意象特征,决定了诗词自身携带诗词的音韵与和谐,富有音乐性。古代有文化的人似乎都是会写诗的人。我们说古代诗人,其实都是业余诗人,都是当官之余或从军之余写诗的,或许是当时不能刷短视频、看推文,只能写写诗。贺知章、陆游、张九龄、白居易都是当官之余写诗;高适、岑参等人都是从军之余写诗。当下,凡是认识汉字的,也是是“无人不道作诗回”。当然,这种不符合诗词格律的“诗”,或者就是押韵的广告、押韵的宣传口号,连“打油”水平都达不到。但这说明了,只要认识汉字,就能作出符合或不符合格律的五言、七言“诗”,甚至不押韵的“诗”。
其次,正是由于汉字诗词一体化特征,决定了他们在传统节日、喜庆场合或朋友聚会时,用诗歌来表达自己的情感、审美和祝福。比如,李白的《赠汪伦》,杜甫的《春日忆李白》,王维的《渭城曲》,等等。
再次,诗词的比兴赋与意象等手法可以更好的表达情感、审美和哲理。比如苏轼的“不识庐山真面目,只缘身在此山中”;陆游的 “纸上得来终觉浅,绝知此事要躬行”“山重水复疑无路,柳暗花明又一村”。举不胜举,既体现了一种美感,也展现了一种哲理。
但我们发现,中国人表达感情、审美与哲理,更多的是通过“五言”与“七言”诗来表达。
以五言诗为例。我们脱口而出的,有王之涣的“白日依山尽,黄河入海流。欲穷千里目,更上一层楼。”;王维的“红豆生南国,春来发几枝。愿君多采撷,此物最相思。”;李白的“床前明月光,疑是地上霜。举头望明月,低头思故乡。”;孟浩然的“春眠不觉晓,处处闻啼鸟。夜来风雨声,花落知多少。”,等等。
以七言律诗为例。我们张口就来有杜甫的七律《蜀相》:“丞相祠堂何处寻,锦官城外柏森森。映阶碧草自春色,隔叶黄鹂空好音。三顾频烦天下计,两朝开济老臣心。出师未捷身先死,长使英雄泪满襟。”;李商隐的七律《锦瑟》:“锦瑟无端五十弦,一弦一柱思华年。庄生晓梦迷蝴蝶,望帝春心托杜鹃。沧海月明珠有泪,蓝田日暖玉生烟。此情可待成追忆,只是当时已惘然。”,等等。
以七言绝句为例。我们从小就学过李白的:“故人西辞黄鹤楼,烟花三月下扬州。孤帆远影碧空尽,唯见长江天际流。”“日照香炉生紫烟,遥看瀑布挂前川。飞流直下三千尺,疑是银河落九天。”,等等。
我想借助“五言”“七言”表达情感、审美与哲理,不仅与文化传承有关,更与汉字的韵律节奏有关。启功先生在《诗文声律论稿》中指出,所谓“律”,是指形式排偶与声调和谐的法则,也就是指齐化和音乐化的规格,所以这种律有被称为“格律”(唐朝称为“近体诗”或“近体诗”)。不论创作的诗是否是符合格律的诗,还是不合格律的“打油诗”与“老干体”,主要还是以“五言”与“七言”为主的。这自然冒出一个问题:为什么创作的不论律诗还是“打油诗”“老干体”,都会以“五言”与“七言”为主呢?
黄永武在《中国诗学—鉴赏篇》提出了独到而精辟的见解。他说:三言诗太短小,音节局促,变化又少,诗人很难在其中施展才情。四言诗太古老,《诗经》以来,诗人也难逾越。六言诗唐人已经尝试,成功的作品不多。八言诗只有在杂言中有单句,没有全首八言的。九言诗作者甚少。九言诗调也读不顺畅,读到五六两字犹如多塞进来的一个音节,也许是七言的疾徐节奏吟惯了,也许是九言的形式真不合唇吻的自然节拍,九言律诗无法盛行
我们知道,汉字的发音具有一定的韵律和节奏,人们可以通过对汉字发音的巧妙运用,营造出优美的韵律和节奏,使诗词更加易于诵读和传唱。“五言”“七言”诗可能体现这种韵律和节奏。虽然,“五言”与“七言”有律诗与绝句,通过每个字的声调和韵律,如平仄的交替出现形成节奏。韵律通过平仄押韵来实现,使得诗词朗朗上口,具有音乐美。既是当下,由于历史原因,我们对平仄不是很熟,对格律不是很熟,写不出严格的律诗,写的或许是“老干体”“打油诗”,但“音步”还是按“五言”“七言”的“音步”来的。
自然有人反驳说,唐诗发展到宋朝时,宋代不再满足于传统的“五言”“七言”律诗了,形成了宋词(也称长短句),不在是“五言”与“七言”了。虽然,宋词在形式上是长短句,但它们的韵律和节奏往往还是基于传统的五言和七言为主。王国维在《人间词话》,叶嘉莹在《叶嘉莹说唐诗宋词》中,都对此演变进行了深入分析和评价。
黄金分割率是一种比例关系,它指的是将一条线段分割成两部分,使得较大部分与整体部分的比值等于较小部分与较大部分的比值。
2000多年前,毕达哥拉斯首先提出黄金分割。所谓黄金分割,指的是把长为L的线段分为两部分,使其中一部分对于全部之比,等于另一部分对于该部分之比。
这里我们看线段分割是怎样推演黄金分割公式的。假设有一条线段AB,长度为a,我们想要找到一点C,使得AC与CB的比例满足黄金分割。
假设AC的长度为b,那么CB的长度就是a - b。根据黄金分割的定义,AC与AB的比值等于CB与AC的比值,即

到13世纪之初,意大利数学家斐波那契(Fibonacci)通过对斐波那契数列的研究,为黄金分割率奠定了数学基础;或者说,用另一种方式证明了黄金分割率。
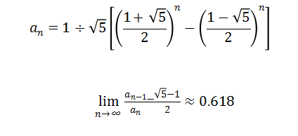
斐波那契发现,在相邻两个斐波那契数的比值是随序号的增加而逐渐趋于黄金分割比的,即
/
→ 0.618…。这一发现建立了斐波那契数列与黄金分割率之间的数学联系。
只需要下面两个公式就可以得到0.618。

中国著名文学家刘大白先生曾在《中诗外形律详说》中指出,五言诗诵读时分三节,比如“好雨/知/时节”;七言诗诵读时分四节,比如崔颢的“昔人/已乘/黄鹤/去,此处/空余/黄鹤/楼”。五比三与七比四,都比较接近黄金分割,即1.618:1,1.75:1。四言诵读时分两节,比如《诗经》中的“蒹葭/苍苍,白露/为霜。所谓/伊人,在水/一方”。六言诗分三节,比如郑板桥的“一竹/一兰/一石,有节/有香/有骨”;马致远的“枯藤/老树/昏鸦,小桥/流水/人家,古道/西风/瘦马”。八言诗分成四节,大家熟悉的例子就很少了,均为二比一,……,都不接近黄金段。
黄金分割率近似值在美学、建筑、艺术等领域中被广泛应用,被认为是实现和谐与美感的关键比例。例如,在绘画中,艺术家可能会使用0.618或1.618的比例来布局画面,以达到最佳的视觉效果。在建筑设计中,黄金分割比例被用于确定门窗、柱子等元素的尺寸和位置,以营造出和谐、美观的建筑形态。人体也存在着黄金分割比例。例如,一般人体以肚脐所在水平线为分割线,上下部分的长度比值接近0.618,或者其倒数1.618。这种比例被认为是人体上下结构的最优数字。
记得上个世纪70年代,我父亲搞技术革新时,需要重复的做实验。那时,我正好学习华罗庚先生的“优选法”。印象特别深的是,我给我父亲提出这样的建议:在一个给定的区间(例如,一米长的纸条)上,首先选择该区间的0.618处作为第一个试验点。如果试验点好,则就在剩下的较长部分(即0到0.618的区间)上再次选择0.618处作试验点;反之,如果第一次试验点表现不佳,则在剩下的较短部分上进行下一次试验;做三次,似乎可以找到最优解或满足预定的精度要求。这就是通过有限的试验次数快速逼近最优解,是一种高效的优选方法。当然,当时我是不懂黄金分割律的,不知道华罗庚先生的“优先法”与黄金分割率在数学原理上具有共通性,都是在利用0.618这个比例来寻找最优解。
我们常说,语言是思维的外衣。因此,汉字决定了中国人的思维,也决定了中国人情感的表达,这种表达具有“比、兴、赋”特征。比如,中医的理论基础是“阴阳五行”学说,谈中医,言必称《黄帝内经》,而《黄帝内经》是这样定义“阴”的:“陰:水之南,山之北也。”这是一种怎样的表达,要定义A,但中国人不是定义A的内涵与外延,而是说,A与B比较像。要定义“阴”,只是说:阴在水的南边,在山的北边。中国人的感性经验就是,水的南岸比较湿润,北岸则相对干燥;水在山的南面能够直接受到阳光的照射,而在山的北面处于背光状态。不是定义事物本身,而是通过“比、兴、赋”来感受与表达事物。
我们知道,创作诗歌,不能讲道理,只能用“比、兴、赋”等创作方法。就是注重意象,就是寓“意”之“象”,在思维过程中,强调直觉和体验。
同样地,可将西方思维可以归纳为“定义概念、逻辑推理”这样的理性思维模式。比如,要说A,首先定义A是什么;然后,再从A推演到B。也就是首先界定概念,比如,什么是线,那就是,线是一点在一定方向运行的轨迹;什么是面,哪就是,一条直线在定方向运动的轨迹,等等。
以古希腊欧几里得几何学为例。在欧几里得的《几何原本》中,他首先列出了5大公理(也称为“公设”或“common notions”),再设13个假设(Postulates)),随后推出约465个命题。正是欧氏几何的这些公理和假设构成了其理论体系的基础,并且对后世的数学和科学产生了深远的影响。被学界称之为“第一次科技革命”,并为牛顿启动的第二次科学革命奠定了基础;更为随后的科学的进步、技术的发展及三次工业革命提供了科学的思维方法与理论基础。
我们可以看出,从毕达哥拉斯首先提出毕达哥拉斯定理(Pythagorean Theorem)、“万物皆数”的理念,到亚里士多德的三段式的演绎法,再到培根(Bacon)的归纳法(代表作是《新工具》),再到孔德提出的实证哲学与波普尔的证伪主义。可以发现,西方哲学与科学的思维方法在不断的发展与完善。不仅强调逻辑,更强调实证、实验;而中国依然在“比、兴、赋”的感性思维中。
黄金分割率既是逻辑思维的产物,也是数学思维的成果。不仅在自然科学、建筑、绘画、艺术领域得到广泛的应用;在社会科学业得到广泛的应用。比如,在宏观经济学中,借助黄金分割率可以衡量经济周期的波动,预测未来的经济走势;可以用于预测通货膨胀和货币政策的调整,评估市场风险和资产价格波动的趋势。
可见东西方,在对美的感受上、哲理思辨上,选择了完全不同的路径。中国人是通过感性思维及“五言”“七言”这样的诗句表达美的感受;而西方人则更倾向于“定义概念、逻辑推理”等抽象思维与数学思维表达美感。他们不仅用这种理性思维与数学思维去审视美、发现美,并广泛地用于雕塑、艺术、绘画、建筑等;还通过这种理性思维与数学思维去促进人类的科学革命、工业革命。正是这种强大的数学思维与逻辑推理能力,推演出当代人类社会的伟大成就,促进工业革命与产品创新,包括我们生活中须臾不可离开的汽车、飞机、电脑、手机等。
德成动态